生物技术进展 ›› 2026, Vol. 16 ›› Issue (1): 94-104.DOI: 10.19586/j.2095-2341.2025.0131

• 研究论文 • 上一篇    下一篇

基于隶属函数法对芥菜种质萌发成苗阶段耐盐能力的综合评价

谢旭明1(), 雷钦文1(), 王竞舟2, 陈丽1, 何华川1, 万正杰2(), 万何平1()   

  1. 1.江汉大学生命科学学院,武汉 430056
    2.华中农业大学园艺林学学院,武汉 430070
  • 收稿日期:2025-09-28 接受日期:2025-12-25 出版日期:2026-01-25 发布日期:2026-02-12
  • 通讯作者: 万正杰,万何平
  • 作者简介:谢旭明 E-mail: 19972582967@163.com
    雷钦文 E-mail:13227508621@163.com第一联系人:(并列第一作者)
  • 基金资助:
    江汉大学校级重点项目(2025JCYJ18);国家重点研发计划项目(2023YFD1200102-03);国家现代农业产业技术体系(CARS-24-A-06);山东省重点研发计划项目(2024LZGCQY017)

Comprehensive Evaluation of Salt Stress Tolerance of Seedling Stage of Mustard Germplasm Based on Membership Function Method

Xuming XIE1(), Qinwen LEI1(), Jingzhou WANG2, Li CHEN1, Huachuan HE1, Zhengjie WAN2(), Heping WAN1()   

  1. 1.College of Life Sciences,Jianghan University,Wuhan 430056,China
    2.College of Horticulture and Forestry Sciences,Huazhong Agricultural University,Wuhan 430070,China
  • Received:2025-09-28 Accepted:2025-12-25 Online:2026-01-25 Published:2026-02-12
  • Contact: Zhengjie WAN,Heping WAN

摘要:

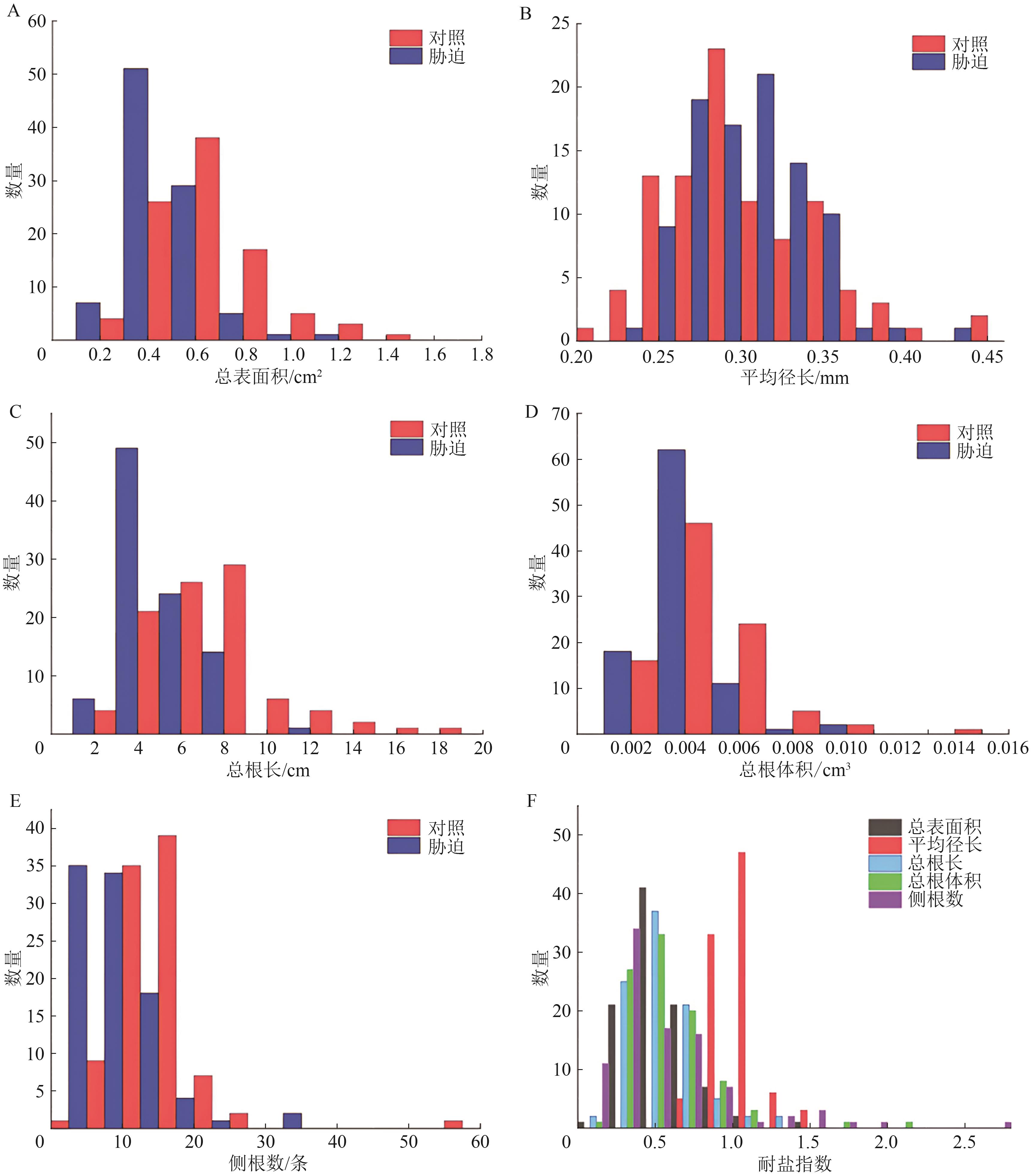
芥菜作为我国特色蔬菜之一,是研究盐胁迫这种关键非生物胁迫因子对植物幼苗时期成长影响的优质实验材料。评估了132份芥菜种质资源在正常条件与从构建的适用于芥菜萌发成苗期的耐盐性鉴定体系所得的最适盐胁迫(1.0% NaCl)下的萌发表现及幼苗根系形态。根据生长状况以及各根系性状的耐盐指数并采用隶属函数法进行综合分析,得到耐盐性综合评价决策值(decision value, D值)。最终从132份芥菜分类出38份盐敏感型,鉴定出3份强耐盐种质(D>0.6)、22份耐盐种质(0.3<D<0.6)和69份不耐盐种质(D<0.3)。其中,对根部耐盐系数进行主成分分析,所得的综合指标1(composite index 1,CI1)与CI2贡献率分别为66.886%和26.835%,证明在CI2占比较高ST-AD独立性更强,其他根部系数与D值存在线性关系并可构建回归方程。综上,芥菜的根系系数可用于更便捷地综合评估其耐盐性,为评价芥菜的耐盐性提供了新方法。

关键词: 芥菜, 耐盐性, 隶属函数法, 线性回归, 综合指标

Abstract:

As one of China's distinctive vegetable crops, mustard serves as an excellent experimental material for investigating the effects of salt stress—a key abiotic stress factor—on plant growth during the seedling stage. The germination performance and root morphology of 132 mustard germplasm accessions were evaluated under both normal conditions and optimal salt stress (1.0% NaCl) derived from a salt tolerance screening system tailored for the germination-to-seedling stage. Comprehensive analysis was conducted using growth status, salt tolerance indices for root traits, and membership functions to derive the D-value, a composite measure of salt tolerance. Ultimately, the 132 Brassica juncea accessions were classified into 38 salt-sensitive types, identifying 3 highly salt-tolerant accessions (D>0.6), 22 salt-tolerant accessions (0.3<D<0.6), and 69 salt-intolerant accessions (D<0.3). Among them, a principal component analysis was conducted on the root salt tolerance coefficients, resulting in a composite index 1 (CI1) and CI2 with contribution rates of 66.886% and 26.835%, respectively. This demonstrated that ST-AD hud stronger independence when CI2 accounted for a higher proportions. Other root coefficients exhibited linear relationships with D values, enabling regression equation construction. In conclusion, the root coefficient of rapeseed can be used to more conveniently assess salt tolerance comprehensively, adding a new approach to evaluating the salt tolerance of rapeseed.

Key words: mustard, salt stress tolerance, membership function method, linear regression, comprehensive index

中图分类号: