生物技术进展 ›› 2024, Vol. 14 ›› Issue (6): 1004-1015.DOI: 10.19586/j.2095-2341.2024.0086

• 研究论文 • 上一篇    下一篇

烟草疫霉拮抗菌XC-29的分离鉴定及其全基因组序列分析

汪苏洁1(), 顾梦丽1, 陶界锰1,2, 童治军3, 郭俊佳1, 金静静1,2, 徐梦晓1, 孟利军1, 张剑锋1,2, 曹培健1,2, 卢鹏1,2()   

  1. 1.中国烟草总公司郑州烟草研究院,郑州 450001
    2.北京生命科技研究院,北京 102200
    3.云南省烟草农业科学研究院,昆明 650106
  • 收稿日期:2024-04-17 接受日期:2024-06-21 出版日期:2024-11-25 发布日期:2024-12-27
  • 通讯作者: 卢鹏
  • 作者简介:汪苏洁 E-mail: wangsujie951230@163.com
  • 基金资助:
    河南省科技攻关项目(212102110257);中国烟草总公司重点研发项目〔110202102050;110202201001(JY-01)〕;郑州烟草研究院省席科学家项目(902023CK0890)

Isolation, Identification and Whole-genome Sequence Analysis of Phytophthora nicotianae Antagonistic Bacteria XC-29

Sujie WANG1(), Mengli GU1, Jiemeng TAO1,2, Zhijun TONG3, Junjia GUO1, Jingjing JIN1,2, Mengxiao XU1, Lijun MENG1, Jianfeng ZHANG1,2, Peijian CAO1,2, Peng LU1,2()   

  1. 1.Zhengzhou Tobacco Research Institute of China National Tobacco Corporation,Zhengzhou 450001,China
    2.Beijing Life Science Academy,Beijing 102200,China
    3.Yunan Academy of Tobacco Agricultural Sciences,Kunming 650106,China
  • Received:2024-04-17 Accepted:2024-06-21 Online:2024-11-25 Published:2024-12-27
  • Contact: Peng LU

摘要:

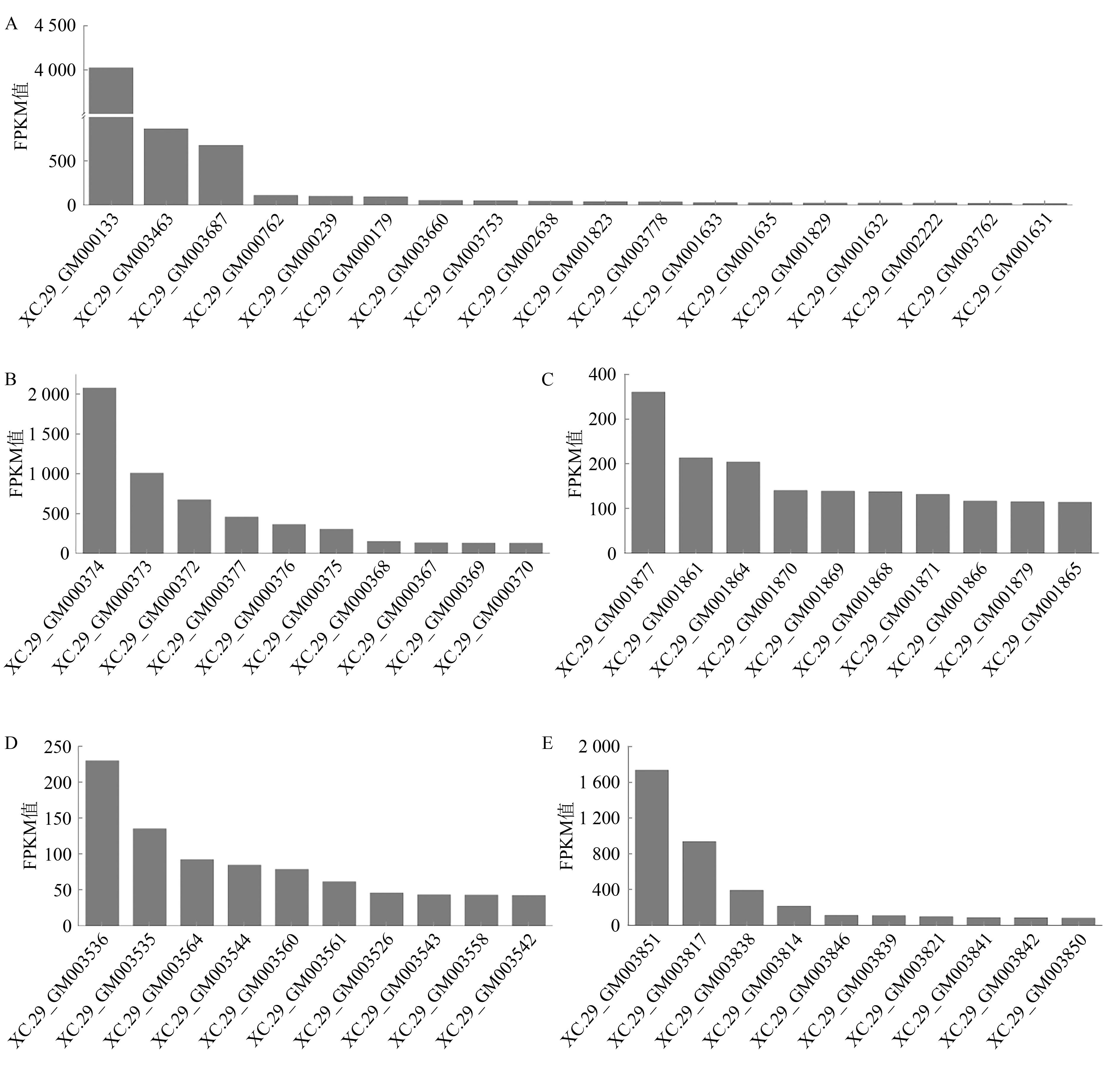
烟草疫霉(Phytophthora nicotianae)是一种可引发烟草黑胫病的土传卵菌,对烟草生产造成极大危害。为了应对这一问题,筛选出一株对烟草疫霉菌具有较强生防功能的菌株XC-29,通过解析基因组信息,挖掘其拮抗代谢产物及拮抗基因。采用平板对峙法和盆栽试验鉴定生防菌XC-29的抑菌活性和防治效果;通过形态观察和16S rRNA扩增子测序技术准确鉴定了XC-29菌株;利用全基因组测序、转录组测序探究菌株拮抗机制。结果表明,根际土分离的拮抗菌株XC-29鉴定为沙福芽孢杆菌(Bacillus safensis),其全基因组测序预测出136种碳水化合物活性酶和11个编码次生代谢产物合成相关的基因簇,其中6个基因簇已被确认为抗菌物质合成簇,分别编码地衣素、双效菌素、schizokinen、丰原素、杆菌溶素和嗜铁素;转录组测序结果进一步确定菌株基因具有编码相应抑菌物质的能力。综上,沙福芽孢杆菌XC-29对烟草疫霉菌具有较强的拮抗作用,全基因组和转录组分析初步揭示了沙福芽孢杆菌XC-29的抑病机理,为进一步探究拮抗菌的抑菌机制和生物防控提供理论依据。

关键词: 烟草黑胫病, 沙福芽孢杆菌, 全基因组测序, 次级代谢产物

Abstract:

Phytophthora nicotianae is a soil-borne oomycete that can cause black shank disease of tobacco, which is very harmful to tobacco production. A strain XC-29 with strong biocontrol function against P.nicotianae was screened, and its antagonistic metabolites and genes were mined by analyzing its genomic information. The antibacterial activity and control effect of biocontrol bacterium XC-29 were verified by the plate confrontation method and pot test. The strain was identified by morphological observation and 16S rRNA amplicon sequencing. The antagonistic mechanism of strains was verified the disease prevention effect of the strain. The strains were identified by exploration by whole genome and transcriptomic sequencing. The results showed that the antagonistic strain XC-29 isolated from rhizosphere soil was identified as Bacillus safensis. Its whole genome sequencing predicted 136 carbohydrate-active enzymes and 11 gene clusters encoding the synthesis of secondary metabolites, of which six were identified as the synthesis clusters of antimicrobial substances, encoding lichenysin, zwittermicin, schizokinen, fengycin, bacilysin and bacilibactin. The results of transcriptome sequencing further confirmed that the strain genes could encode corresponding antibacterial substances. In conclusion, Bacillus safensis XC-29 has a strong antagonistic effect on Phytophthora nicotianae. The whole genome and transcriptome analysis preliminarily revealed the disease inhibition mechanism of Bacillus safensis XC-29, which provides a theoretical basis for further exploration of the antibacterial mechanism and biological prevention and control of antagonistic bacteria.

Key words: tobacco black shank, Bacillus safensis, whole genome sequencing, secondary metabolites

中图分类号: