生物技术进展 ›› 2024, Vol. 14 ›› Issue (4): 519-528.DOI: 10.19586/j.2095-2341.2024.0035
张昊1,2(), 陈亚娟2(
), 姜廷波1, 周博如1(
), 王宏芝2(
)
收稿日期:
2024-02-28
接受日期:
2024-03-27
出版日期:
2024-07-25
发布日期:
2024-08-07
通讯作者:
周博如,王宏芝
作者简介:
张昊 E-mail:2891337761@qq.com基金资助:
Hao ZHANG1,2(), Yajuan CHEN2(
), Tingbo JIANG1, Boru ZHOU1(
), Hongzhi WANG2(
)
Received:
2024-02-28
Accepted:
2024-03-27
Online:
2024-07-25
Published:
2024-08-07
Contact:
Boru ZHOU,Hongzhi WANG
摘要:
蛋白质翻译后修饰(post-translational modifications,PTMs)在植物生长发育过程中具有十分重要的作用,它们通过调节蛋白质的结构、稳定性以及活性,从而影响植物的生长发育以及响应环境胁迫的能力。木质素生物合成途径及其上游转录调控机制目前已研究得较为清楚,但翻译后修饰研究较少。综述了木质素生物合成翻译后修饰调控的最新研究进展,重点介绍了磷酸化、泛素化、糖基化和S-亚硝基化4类重要的翻译后修饰对木质素合成关键酶和转录因子的调控机制,旨在深化对木质素生物合成调控机理的认知,并为深入理解植物木质素合成的精准时空调控机制提供参考和启发。
中图分类号:
张昊, 陈亚娟, 姜廷波, 周博如, 王宏芝. 木质素生物合成翻译后修饰调控研究进展[J]. 生物技术进展, 2024, 14(4): 519-528.
Hao ZHANG, Yajuan CHEN, Tingbo JIANG, Boru ZHOU, Hongzhi WANG. Advances on the Post-translational Modifications Regulating of Lignin Biosynthesis[J]. Current Biotechnology, 2024, 14(4): 519-528.
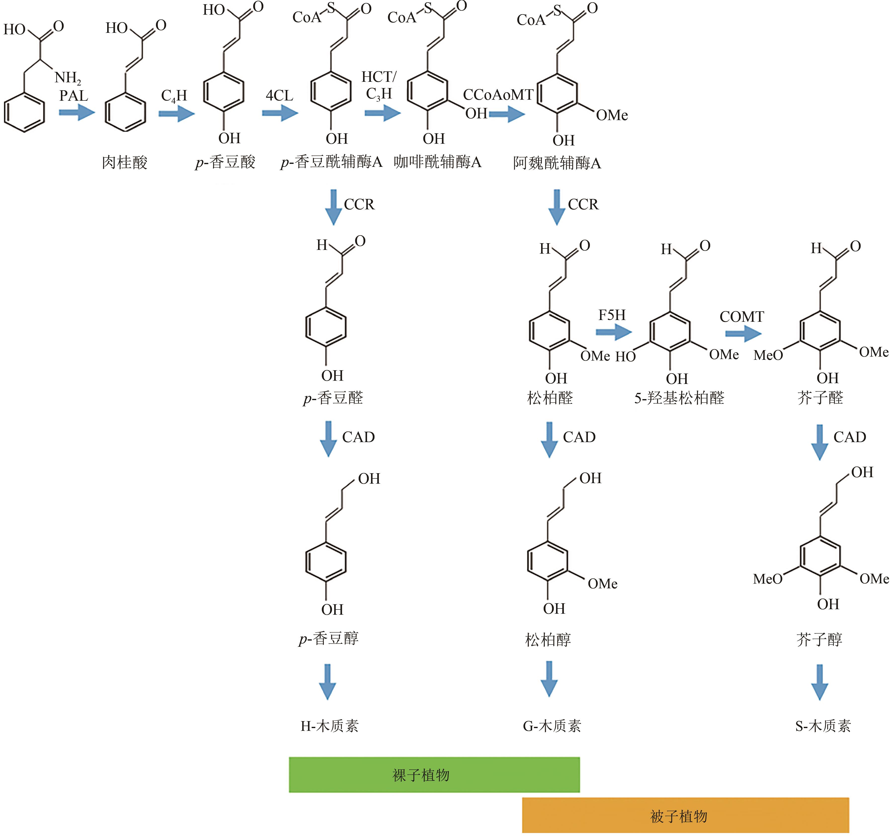
图1 木质素合成途径[4]注:PAL—苯丙氨酸解氨酶;C4H—肉桂酸4-羟化酶;C3H—4-香豆酸3-羟化酶;CCoAOMT—咖啡酰辅酶A O-甲基转移酶;4CL—4-香豆酸辅酶A连接酶;CCH—香豆酰辅酶A 3-羟化酶;CCR—肉桂酰辅酶A还原酶;F5H—阿魏酸-5-羟化酶;COMT—咖啡酸O-甲基转移酶;CAD—肉桂醇脱氢酶。
Fig. 1 Lignin biosynthesis pathway[4]
蛋白名称 | 物种 | 翻译后修饰种类 | 翻译后修饰作用 | 参考文献 |
---|---|---|---|---|
毛白杨(Populus tomentosa) | 泛素化 | UBC34的泛素化降低转录因子MYB221的活性,调节木质素合成 | [ | |
拟南芥(Arabidopsis thaliana) | 泛素化 | KFB的泛素化影响PAL1蛋白质稳定性,调控苯丙烷合成 | [ | |
拟南芥(Arabidopsis thaliana) | 泛素化 | SAG1的泛素化影响PAL1蛋白质稳定性,调控木质素合成 | [ | |
Phyllostachys edulis | 泛素化 | PeKFB9的泛素化介导PePRX72-1降解,调控木质素单体聚合 | [ | |
ULCS1 | 拟南芥(Arabidopsis thaliana) | 泛素化 | 调控木质素合成,RNAi植株花药壁U-型次生细胞壁沉积缺失 | [ |
毛果杨(Populus trichocarpa) | 磷酸化 | Ser123或 Ser12磷酸化导致AldOMT2蛋白丧失催化活性 | [ | |
毛果杨(Populus trichocarpa)×美洲黑杨(Populus deltoides) | 磷酸化 | 磷酸化降低了PAL2蛋白质稳定性 | [ | |
PtMYB4 | 火炬松(Pinus taeda L.) | 磷酸化 | PtMYB4被丝裂原激活蛋白激酶PtMAPK6 磷酸化,磷酸化的PtMYB4 转录激活活性明显提高 | [ |
LTF1 | 拟南芥(Arabidopsis thaliana) | 磷酸化 | 磷酸化降低了LTF1蛋白稳定性,解除或减弱了其对木质素单体合成基因的转录抑制作用,进而激活木质素合成 | [ |
OsRAI1 | 水稻(Oryza sativa) | 磷酸化 | 磷酸化激活OsRAI1的转录激活活性,进而诱导PAL1等基因的转录,诱导植物防御反应 | [ |
PXP1、PXP2、PXP3、PXP4、PXP5、PXP6 | 毛果杨(Populus trichocarpa) | 糖基化 | 不明确 | [ |
PRX | 百日草(Zinnia elegans jacq.) | 糖基化 | 糖基化改变PRX的催化效率 | [ |
VND7 | 拟南芥(Arabidopsis thaliana) | S-亚硝基化 | S-亚硝基化降低了VND7对次生细胞壁合成基因的反式激活活性 | [ |
表1 木质素生物合成调控中的蛋白质翻译后修饰
Table 1 PTMs of proteins involved in the regulation of lignin biosynthesis
蛋白名称 | 物种 | 翻译后修饰种类 | 翻译后修饰作用 | 参考文献 |
---|---|---|---|---|
毛白杨(Populus tomentosa) | 泛素化 | UBC34的泛素化降低转录因子MYB221的活性,调节木质素合成 | [ | |
拟南芥(Arabidopsis thaliana) | 泛素化 | KFB的泛素化影响PAL1蛋白质稳定性,调控苯丙烷合成 | [ | |
拟南芥(Arabidopsis thaliana) | 泛素化 | SAG1的泛素化影响PAL1蛋白质稳定性,调控木质素合成 | [ | |
Phyllostachys edulis | 泛素化 | PeKFB9的泛素化介导PePRX72-1降解,调控木质素单体聚合 | [ | |
ULCS1 | 拟南芥(Arabidopsis thaliana) | 泛素化 | 调控木质素合成,RNAi植株花药壁U-型次生细胞壁沉积缺失 | [ |
毛果杨(Populus trichocarpa) | 磷酸化 | Ser123或 Ser12磷酸化导致AldOMT2蛋白丧失催化活性 | [ | |
毛果杨(Populus trichocarpa)×美洲黑杨(Populus deltoides) | 磷酸化 | 磷酸化降低了PAL2蛋白质稳定性 | [ | |
PtMYB4 | 火炬松(Pinus taeda L.) | 磷酸化 | PtMYB4被丝裂原激活蛋白激酶PtMAPK6 磷酸化,磷酸化的PtMYB4 转录激活活性明显提高 | [ |
LTF1 | 拟南芥(Arabidopsis thaliana) | 磷酸化 | 磷酸化降低了LTF1蛋白稳定性,解除或减弱了其对木质素单体合成基因的转录抑制作用,进而激活木质素合成 | [ |
OsRAI1 | 水稻(Oryza sativa) | 磷酸化 | 磷酸化激活OsRAI1的转录激活活性,进而诱导PAL1等基因的转录,诱导植物防御反应 | [ |
PXP1、PXP2、PXP3、PXP4、PXP5、PXP6 | 毛果杨(Populus trichocarpa) | 糖基化 | 不明确 | [ |
PRX | 百日草(Zinnia elegans jacq.) | 糖基化 | 糖基化改变PRX的催化效率 | [ |
VND7 | 拟南芥(Arabidopsis thaliana) | S-亚硝基化 | S-亚硝基化降低了VND7对次生细胞壁合成基因的反式激活活性 | [ |
图2 MAPK6激活木质素生物合成的推测模型[33]A:在火炬松木质部发育初期,MAPK6可能会被自身磷酸化或通过其他激酶介导的磷酸化激活,激活的MAPK6磷酸化转录因子MYB4,磷酸化使MYB4失活,从而抑制木质素合成基因的表达,木质部发育晚期,MAPK6不再活跃,MYB4诱导木质素合成基因的表达;B:LTF1在正常条件下是木质素合成的抑制因子,在受到伤害等环境刺激后,MAPK6磷酸化LTF1后使其通过26S蛋白酶体降解,从而减弱LTF1介导的木质素合成的抑制作用;C:MYB156和MYB221调控毛白杨木质素生物合成的推测模型,MYB156和MYB221是木质素合成的转录抑制因子,UBC 34泛素结合酶与MYB156/221互作,使MYB156和MYB221的定位从细胞核转移到内质网,推测木质素合成基因的表达受MYB156/221在内质网的捕获或蛋白酶体途径降解而被削弱。
Fig. 2 A putative model of MAPK6 regulating the activation of lignin biosynthesis
1 | 周影,郑林,魏建华,等.气孔运动中保卫细胞壁作用的研究进展[J].生物技术进展,2019,9(5):455-460. |
ZHOU Y, ZHENG L, WEI J H, et al.. Advances on roles of guard cell wall in stomatal movement[J]. Curr. Biotechnol., 2019, 9(5): 455-460. | |
2 | ZHU J, YAN C, ZHANG X, et al.. A sustainable platform of lignin: from bioresources to materials and their applications in rechargeable batteries and supercapacitors[J/OL]. Prog. Energy Comb. Sci., 2020,76: 100788[2024-06-10]. . |
3 | DANIEL B S, XIAO J, YANG C, et al.. Multiplex CRISPR editing of wood for sustainable fiber production[J]. Science, 2023,6654 (381): 216-221. |
4 | YOON J, CHOI H, AN G. Roles of lignin biosynthesis and regulatory genes in plant development[J]. J. Integr. Plant Biol., 2015, 57(11): 902-912. |
5 | ZHAO Q, DIXON R A. Transcriptional networks for lignin biosynthesis: more complex than we thought?[J]. Trends Plant Sci., 2011, 16(4): 227-233. |
6 | GRIMA-PETTENATI J, SOLER M, CAMARGO E L O, et al.. Transcriptional regulation of the lignin biosynthetic pathway revisited: new players and insights[J]. Adv. Bot. Res. Acad., 2012, 61: 173-218. |
7 | ZHONG R, DEMURA T, YE Z H. SND1, a NAC domain transcription factor, is a key regulator of secondary wall synthesis in fibers of Arabidopsis [J]. Plant Cell, 2006, 18(11): 3158-3170. |
8 | YAMAGUCHI M, KUBO M, FUKUDA H, et al.. Vascular-related NAC-DOMAIN7 is involved in the differentiation of all types of xylem vessels in Arabidopsis roots and shoots[J]. Plant J., 2008, 55(4): 652-664. |
9 | ZHONG R, YE Z H. Transcriptional regulation of lignin biosynthesis[J]. Plant Signal. Behav., 2009, 4(11): 1028-1034. |
10 | ZHOU J, LEE C, ZHONG R, et al.. MYB58 and MYB63 are transcriptional activators of the lignin biosynthetic pathway during secondary cell wall formation in Arabidopsis [J]. Plant Cell, 2009, 21(1): 248-266. |
11 | ZHONG R, LEE C, ZHOU J, et al.. A battery of transcription factors involved in the regulation of secondary cell wall biosynthesis in Arabidopsis [J]. Plant Cell, 2008, 20(10): 2763-2782. |
12 | JIN H, COMINELLI E, BAILEY P, et al.. Transcriptional repression by AtMYB4 controls production of UV-protecting sunscreens in Arabidopsis [J]. EMBO J., 2000(22): 6150-6161. |
13 | WANG X C, WU J, GUAN M L, et al.. Arabidopsis MYB4 plays dual roles in flavonoid biosynthesis[J]. Plant J., 2020,101(3): 637-652. |
14 | JEROEN R, ANTJE R, JØRGEN H C, et al.. Genome-wide characterization of the lignification toolbox in Arabidopsis [J]. Plant Physiol., 2003,133 (3): 1051-1071. |
15 | ANDERSSON K B, BERGE T, MATRE V, et al.. Sequence selectivity of c-Myb in vivo: resolution of a DNA target specificity paradox[J]. J. Biol. Chem.,1999,274 (31): 21986-21994. |
16 | SPOEL S H. Orchestrating the proteome with post-translational modifications[J]. J. Exp. Bot.,2018,69(19): 4499-4503. |
17 | GIULIA F, KLAAS J VAN W. Posttranslational protein modifications in plant metabolism[J]. Plant Physiol., 2015,169(3): 1469-1487. |
18 | YANG K, LI Z, ZHU C, et al.. Identification of KFB family in Moso Bamboo reveals the potential function of PeKFB9 involved in stress response and lignin polymerization[J/OL]. Int. J. Mol. Sci., 2022,23(20): 12568[2024-06-15]. . |
19 | HIROFUMI K, NAOKI T, HIROAKI S, et al.. Classification and expression analysis of Arabidopsis F-box-containing protein genes[J]. Plant Cell Physiol., 2002,43(10): 1073-1085. |
20 | ZHANG X, GOU M, LIU C J. Arabidopsis Kelch repeat F-box proteins regulate phenylpropanoid biosynthesis via controlling the turnover of phenylalanine ammonia-lyase[J]. Plant Cell, 2013, 25(12): 4994-5010. |
21 | BORAH P, KHURANA J P. The OsFBK1 E3 ligase subunit affects anther and root secondary cell wall thickenings by mediating turnover of a cinnamoyl-CoA reductase[J]. Plant Physiol., 2018, 176(3): 2148-2165. |
22 | INGO A, OLIVER J, LUTZ B, et al.. Leucoanthocyanidin dioxygenase in Arabidopsis thaliana: characterization of mutant alleles and regulation by MYB-BHLH-TTG1 transcription factor complexes[J]. Gene,2011,484(1-2): 61-68. |
23 | SCHULZ P, HERDE M, ROMEIS T. Calcium-dependent protein kinases: hubs in plant stress signaling and development[J]. Plant Physiol., 2013, 163(2): 523-530. |
24 | ALLWOOD E G, DAVIES D R, GERRISH C, et al.. Phosphorylation of phenylalanine ammonia-lyase: evidence for a novel protein kinase and identification of the phosphorylated residue[J]. FEBS Lett., 1999,457 (1): 47-52. |
25 | SHUFORD C M, LI Q, SUN Y H, et al.. Comprehensive quantification of monolignol-pathway enzymes in Populus trichocarpa by protein cleavage isotope dilution mass spectrometry[J]. J. Proteome Res., 2012, 11(6): 3390-3404. |
26 | GUI J, LUO L, ZHONG Y, et al.. Phosphorylation of LTF1, an MYB transcription factor in Populus, acts as a sensory switch regulating lignin biosynthesis in wood cells[J]. Mol. Plant, 2019,12 (10): 1325-1337. |
27 | NASIR F, TIAN L, CHANG C, et al.. Current understanding of pattern-triggered immunity and hormone-mediated defense in rice (Oryza sativa) in response to Magnaporthe oryzae infection[J]. Semin. Cell Dev. Biol., 2018, 83: 95-105. |
28 | CHRISTENSEN J H, BAUW G, GJESING WELINDER K, et al.. Purification and characterization of peroxidases correlated with lignification in poplar xylem[J]. Plant Physiol., 1998, 118(1): 125-135. |
29 | GABALDÓN C, GÓMEZ-ROS L V, NÚÑEZ-FLORES M J, et al.. Post-translational modifications of the basic peroxidase isoenzyme from Zinnia elegans [J]. Plant Mol. Biol., 2007, 65(1-2): 43-61. |
30 | ZHONG R, RICHARDSON E A, YE Z H. Two NAC domain transcription factors, SND1 and NST1, function redundantly in regulation of secondary wall synthesis in fibers of Arabidopsis [J]. Planta, 2007, 225(6): 1603-1611. |
31 | VIERSTRA R D. The ubiquitin-26S proteasome system at the nexus of plant biology[J]. Nat. Rev. Mol. Cell Biol., 2009, 10: 385-397. |
32 | FOOT N, HENSHALL T, KUMAR S. Ubiquitination and the regulation of membrane proteins[J]. Physiol. Rev., 2017, 97(1): 253-281. |
33 | SULIS D B, WANG J P. Regulation of lignin biosynthesis by post-translational protein modifications[J/OL]. Plant Sci., 2020, 11: 914[2024-05-16]. . |
34 | ZHANG X, LIU C. Multifaceted regulations of gateway enzyme phenylalanine ammonia-lyase in the biosynthesis of phenylpropanoids[J]. Mol. Plant, 2015,8(1): 17-27. |
35 | YU S I, KIM H, YUN D J, et al.. Post-translational and transcriptional regulation of phenylpropanoid biosynthesis pathway by Kelch repeat F-box protein SAGL1[J]. Plant Mol. Biol., 2019,99: 135-148. |
36 | ZHENG L, CHEN Y, DING D, et al.. Endoplasmic reticulum-localized UBC34 interaction with lignin repressors MYB221 and MYB156 regulates the transactivity of the transcription factors in Populus tomentosa [J/OL]. BMC Plant Biol., 2019, 19(1): 97[2024-06-15]. . |
37 | DESPOINA B, GEORGIOS K, PANTELIS L, et al.. RNAi-mediated silencing of the Arabidopsis thaliana ULCS1 gene, encoding a WDR protein, results in cell wall modification impairment and plant infertility[J]. Plant Sci., 2016,245: 71-83. |
38 | 丁珊,任禹静,姜凌,等.磷酸化对UCHL3体外去泛素化酶活性的影响[J].生物技术进展,2019,9(5):527-535. |
DING S, REN Y J, JIANG L, et al.. Effect of phosphorylation on deubiquitinase activity of UCHL3 in vitro [J]. Curr. Biotechnol., 2019, 9(5): 527-535. | |
39 | FLORIAN G, FRANCESCA F, DOROTA F Z, et al.. Evolutionary constraints of phosphorylation in eukaryotes, prokaryotes, and mitochondria[J]. Mol. Cell. Proteom., 2010,9(12): 2642-2653. |
40 | WHITMARSH A J, DAVIS R J. Regulation of transcription factor function by phosphorylation[J]. Cell. Mol. Life Sci., 2000, 57(8): 1172-1183. |
41 | CHENG S H, SHEEN J, GERRISH C, et al.. Molecular identification of phenylalanine ammonia‐lyase as a substrate of a specific constitutively active Arabidopsis CDPK expressed in maize protoplasts[J]. FEBS Lett., 2001,503(2-3): 185-188. |
42 | ASTRID P, STEPHANIE M, ADRIAN C, et al.. Characterisation of a pine MYB that regulates lignification[J]. Plant J., 2003,36 (6): 743-754. |
43 | CORPAS F J, JUAN D A, JUAN B B. Current overview of S-nitrosoglutathione (GSNO) in higher plants[J]. Front. Plant Sci., 2013(4): 126[2024-06-12].. |
44 | HU J, HUANG X, CHEN L, et al.. Site-specific nitrosoproteomic identification of endogenously S-nitrosylated proteins in Arabidopsis [J]. Plant Physiol., 2015, 167(4): 1731-1746. |
45 | KAWABE H, OHTANI M, KURATA T, et al.. Protein S-nitrosylation regulates xylem vessel cell differentiation in Arabidopsis [J]. Plant Cell Physiol., 2018, 59(1): 17-29. |
46 | KUBO M, UDAGAWA M, NISHIKUBO N, et al.. Transcription switches for protoxylem and metaxylem vessel formation[J]. Genes Dev., 2005, 19(16): 1855-1860. |
47 | HALTIWANGER R S, LOWE J B. Role of glycosylation in development[J]. Annu. Rev. Biochem., 2004, 73: 491-537. |
48 | CATHERINE M, ANNICK B, CYRIL J, et al.. Evolution and expression of class Ⅲ peroxidases[J]. Arch. Biochem. Biophys., 2010,500 (1): 58-65. |
49 | MANSOURI I, MERCADO J A, SANTIAGO‐DÓMENECH N, et al.. Biochemical and phenotypical characterization of transgenic tomato plants overexpressing a basic peroxidase[J]. Physiol. Plantarum., 1999, 106(4): 355-362. |
50 | BLEE K A, CHOI J W, O'CONNELL A P, et al.. A lignin-specific peroxidase in tobacco whose antisense suppression leads to vascular tissue modification[J]. Phytochemistry, 2003, 64(1): 163-176. |
51 | VEITCH N C. Structural determinants of plant peroxidase function[J]. Phytochem. Rev., 2004, 3(1): 3-18. |
52 | GABALDÓN C, LÓPEZ-SERRANO M, POMAR F, et al.. Characterization of the last step of lignin biosynthesis in Zinnia elegans suspension cell cultures[J]. FEBS Lett., 2006, 580(18): 4311-4316. |
53 | KIM T W, PARK C H, HSU C C, et al.. Mapping the signaling network of BIN2 kinase using TurboID-mediated biotin labeling and phosphoproteomics[J]. Plant Cell, 2023, 35(3): 975-993. |
54 | LI H, PAN Y, YANG Z, et al.. Emerging applications of site-directed spin labeling electron paramagnetic resonance (SDSL-EPR) to study food protein structure, dynamics, and interaction[J]. Trends Food Sci. Technol., 2021, 109: 37-50. |
55 | GUI J, LAM P Y, TOBIMATSU Y, et al.. Fibre-specific regulation of lignin biosynthesis improves biomass quality in Populus [J]. N. Phytol., 2020, 226(4): 1074-1087. |
[1] | 张青云, 马蕾, 胥华, 靳礼安, 邹俊杰, 王宝宝, 陈全家, 徐妙云. 根系木质素含量影响玉米耐盐性的机制研究[J]. 生物技术进展, 2025, 15(1): 67-77. |
[2] | 张在宝,,赵海,胡梦辉,邓丽君,王琦,李九丽,袁红雨,. 组学在花药发育研究中的应用进展Ⅱ:蛋白质组学和代谢组学[J]. 生物技术进展, 2019, 9(5): 440-448. |
[3] | 丁珊,任禹静,姜凌,梅子青. 磷酸化对UCHL3体外去泛素化酶活性的影响[J]. 生物技术进展, 2019, 9(5): 527-535. |
[4] | 郑翰轩,张郃. 模式识别受体激活状态对小胶质细胞p38-MAPK磷酸化水平的影响[J]. 生物技术进展, 2018, 8(2): 169-173. |
[5] | 牟亚妮,张俊,熊悦婷,李宗迪,楼杨,李苹,张灵玲,. 纤维素的发展历程及纳米晶体纤维素的研究概况[J]. 生物技术进展, 2016, 6(1): 30-34. |
阅读次数 | ||||||
全文 |
|
|||||
摘要 |
|
|||||